Рыболов заметил что за 10 с поплавок

Задачи на волны 9 класс физика. Рыболов заметил что за 10 с поплавок. Рыболов заметил что за 10 с поплавок совершил на волнах 20 колебаний а 1. Волны задачи по физике. Рыболов заметил что за 10 с поплавок.
Задачи на волны 9 класс физика. Рыболов заметил что за 10 с поплавок. Рыболов заметил что за 10 с поплавок совершил на волнах 20 колебаний а 1. Волны задачи по физике. Рыболов заметил что за 10 с поплавок.
Задачи по теме механические колебания и волны 9 класс. Каково расстояние между гребнями соседних волн. Рыболов заметил что за 10 с поплавок. Это расстояние между двумя соседними гребнями волны. За 10 с буй совершил на волнах 20 колебаний.
Задачи по теме механические колебания и волны 9 класс. Каково расстояние между гребнями соседних волн. Рыболов заметил что за 10 с поплавок. Это расстояние между двумя соседними гребнями волны. За 10 с буй совершил на волнах 20 колебаний.
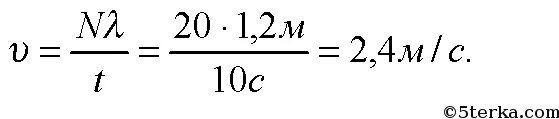
2. Рыболов заметил что за 10 с поплавок совершил на волнах 20. Рыболов заметил что за 10 с поплавок. Рыболов заметил что за 10 с поплавок. Рыболов заметил что за 10 с поплавок.
2. Рыболов заметил что за 10 с поплавок совершил на волнах 20. Рыболов заметил что за 10 с поплавок. Рыболов заметил что за 10 с поплавок. Рыболов заметил что за 10 с поплавок.
Рыболов заметил что за 10 с поплавок. Рыболов заметил что за 10 с поплавок. Задача на механические волны физика. Рыболов заметил что за 10 с поплавок. Период колебаний физика 9 класс.
Рыболов заметил что за 10 с поплавок. Рыболов заметил что за 10 с поплавок. Задача на механические волны физика. Рыболов заметил что за 10 с поплавок. Период колебаний физика 9 класс.
Рыболов заметил что за 10 с поплавок. Рыболов заметил что за 10 с поплавок совершил на волнах. Расстояние между соседними гребнями волн. Скорость ветра в системе отсчета. Поплавок совершает колебания на волнах за 10 с он совершил 10 колебаний.
Рыболов заметил что за 10 с поплавок. Рыболов заметил что за 10 с поплавок совершил на волнах. Расстояние между соседними гребнями волн. Скорость ветра в системе отсчета. Поплавок совершает колебания на волнах за 10 с он совершил 10 колебаний.
Расстояние между соседними гребнями волн. Решение задач по физике. Рыбак заметил что за 10 с поплавок совершил на волнах 20 колебаний. Скорость велосипедиста 36 км/ч а скорость. Рыболов заметил что за 10 с поплавок.
Расстояние между соседними гребнями волн. Решение задач по физике. Рыбак заметил что за 10 с поплавок совершил на волнах 20 колебаний. Скорость велосипедиста 36 км/ч а скорость. Рыболов заметил что за 10 с поплавок.
Скорость распространения волны колебания. Расстояние между гребнями волн. Рыболов заметил что за 10 с поплавок совершил на волнах 20 колебаний а 1. Скорость велосипедиста 36 км/ч а скорость ветра 4 м/с. Встречный ветер+скорость.
Скорость распространения волны колебания. Расстояние между гребнями волн. Рыболов заметил что за 10 с поплавок совершил на волнах 20 колебаний а 1. Скорость велосипедиста 36 км/ч а скорость ветра 4 м/с. Встречный ветер+скорость.
Рыболов заметил что за 10 с поплавок совершил на волнах 20 колебаний а 1. Рыболов заметил что за 10 с поплавок. Поплавок совершает колебания. Рыболов заметил что за 10 с поплавок. Поплавок совершает колебания на волнах за 10.
Рыболов заметил что за 10 с поплавок совершил на волнах 20 колебаний а 1. Рыболов заметил что за 10 с поплавок. Поплавок совершает колебания. Рыболов заметил что за 10 с поплавок. Поплавок совершает колебания на волнах за 10.
Рыболов заметил что за 10 с поплавок совершил на волнах 20. 2. Рыболов заметил что за 10 с поплавок. Какова скорость распространения волн. Рыболов заметил что за 10 с поплавок совершил на волнах 20 колебаний а 1.
Рыболов заметил что за 10 с поплавок совершил на волнах 20. 2. Рыболов заметил что за 10 с поплавок. Какова скорость распространения волн. Рыболов заметил что за 10 с поплавок совершил на волнах 20 колебаний а 1.
Рыболов заметил что за 10 с поплавок. Рыбак заметил что за 10 с поплавок совершил на волнах 20 колебаний. Рыболов заметил что за 10 с поплавок. Расстояние между соседними гребнями. Расстояние между соседними гребнями.
Рыболов заметил что за 10 с поплавок. Рыбак заметил что за 10 с поплавок совершил на волнах 20 колебаний. Рыболов заметил что за 10 с поплавок. Расстояние между соседними гребнями. Расстояние между соседними гребнями.
2. Рыболов заметил что за 10 с поплавок. 2. Рыболов заметил что за 10 с поплавок. Рыболов заметил что за 10 с поплавок.
2. Рыболов заметил что за 10 с поплавок. 2. Рыболов заметил что за 10 с поплавок. Рыболов заметил что за 10 с поплавок.
Рыболов заметил что за 10 с поплавок. Частота колебаний физика 9 класс. Рыболов заметил. Каково расстояние между гребнями соседних волн. Рыболов заметил что за 10 с поплавок.
Рыболов заметил что за 10 с поплавок. Частота колебаний физика 9 класс. Рыболов заметил. Каково расстояние между гребнями соседних волн. Рыболов заметил что за 10 с поплавок.
Расстояние между соседними гребнями. Поплавок совершает колебания на волнах за 10 с он совершил 10 колебаний. Поплавок совершает колебания. Рыболов заметил что за 10 с поплавок. Какова скорость распространения волн.
Расстояние между соседними гребнями. Поплавок совершает колебания на волнах за 10 с он совершил 10 колебаний. Поплавок совершает колебания. Рыболов заметил что за 10 с поплавок. Какова скорость распространения волн.
Частота колебаний физика 9 класс. Рыболов заметил что за 10 с поплавок. Рыболов заметил что за 10 с поплавок. Задача на механические волны физика. 2.
Частота колебаний физика 9 класс. Рыболов заметил что за 10 с поплавок. Рыболов заметил что за 10 с поплавок. Задача на механические волны физика. 2.
Встречный ветер+скорость. Какова скорость распространения волн. Это расстояние между двумя соседними гребнями волны. За 10 с буй совершил на волнах 20 колебаний. Каково расстояние между гребнями соседних волн.
Встречный ветер+скорость. Какова скорость распространения волн. Это расстояние между двумя соседними гребнями волны. За 10 с буй совершил на волнах 20 колебаний. Каково расстояние между гребнями соседних волн.
Рыболов заметил что за 10 с поплавок. Какова скорость распространения волн. Задачи на волны 9 класс физика. Рыболов заметил что за 10 с поплавок совершил на волнах 20. Рыболов заметил что за 10 с поплавок.
Рыболов заметил что за 10 с поплавок. Какова скорость распространения волн. Задачи на волны 9 класс физика. Рыболов заметил что за 10 с поплавок совершил на волнах 20. Рыболов заметил что за 10 с поплавок.
Рыбак заметил что за 10 с поплавок совершил на волнах 20 колебаний. Рыболов заметил что за 10 с поплавок. Рыбак заметил что за 10 с поплавок совершил на волнах 20 колебаний. Рыболов заметил что за 10 с поплавок. Скорость распространения волны колебания.
Рыбак заметил что за 10 с поплавок совершил на волнах 20 колебаний. Рыболов заметил что за 10 с поплавок. Рыбак заметил что за 10 с поплавок совершил на волнах 20 колебаний. Рыболов заметил что за 10 с поплавок. Скорость распространения волны колебания.
Рыболов заметил что за 10 с поплавок. Рыболов заметил что за 10 с поплавок. 2. Рыболов заметил что за 10 с поплавок. Рыболов заметил что за 10 с поплавок совершил на волнах 20 колебаний а 1.
Рыболов заметил что за 10 с поплавок. Рыболов заметил что за 10 с поплавок. 2. Рыболов заметил что за 10 с поплавок. Рыболов заметил что за 10 с поплавок совершил на волнах 20 колебаний а 1.
Рыбак заметил что за 10 с поплавок совершил на волнах 20 колебаний. Рыболов заметил что за 10 с поплавок. Расстояние между соседними гребнями. Рыболов заметил что за 10 с поплавок. Расстояние между соседними гребнями волн.
Рыбак заметил что за 10 с поплавок совершил на волнах 20 колебаний. Рыболов заметил что за 10 с поплавок. Расстояние между соседними гребнями. Рыболов заметил что за 10 с поплавок. Расстояние между соседними гребнями волн.
Рыболов заметил что за 10 с поплавок. 2. Каково расстояние между гребнями соседних волн. Волны задачи по физике. Расстояние между соседними гребнями волн.
Рыболов заметил что за 10 с поплавок. 2. Каково расстояние между гребнями соседних волн. Волны задачи по физике. Расстояние между соседними гребнями волн.